产品中心

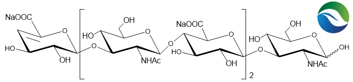
不饱和透明质酸六糖钠盐


 【英文名】Unsaturated hyaluronic acid hexaose

【产品编号】SUH06

【分子式】C42H60N3O33Na3

【分子量】1203.90Da

【批次号】S250527UH6

【吸湿性】强吸湿性

【溶解性】在水中易溶,在丙酮、氯仿、乙醚中不溶

【结构式】

1.png

备注:上述信息,均基于科研、探讨为目的

   上一篇 : 不饱和透明质酸四糖钠盐
  下一篇 : 不饱和透明质酸八糖钠盐